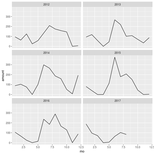
Rice price

Last five years

plot of chunk lf

plot of chunk lf

Last two years

plot of chunk lf2

plot of chunk lf2

Top 10 prices

In the below we see top 10 prices in the last two decades in Bangladesh (wholesale coarse price). We find that out of this top 10 prices, 5 of those were registered in 2017. Two were recorded in 2016, October and November repectively.

yrmon amount
May 2017 3838
Apr 2017 3597
Mar 2017 3381
Feb 2017 3298
Feb 2011 3272
Oct 2016 3265
Nov 2016 3244
Mar 2011 3209
Jan 2017 3207
Apr 2008 3170

let's put it into graph

plot of chunk top10pGr

plot of chunk top10pGr

In the same manner we look into to 10 lowest prices in last two decades

yrmon amount
Jan 1997 895
Dec 1996 910
Nov 1996 927
Oct 1996 931
Aug 1997 938
Feb 1997 943
Sep 1997 949
Jul 1997 957
Mar 1997 983
Sep 1996 992

In the above see that, all were back in later half of 1990s

let's try in the last 10 years

yrmon amount
Aug 2009 1746
Jul 2009 1752
Sep 2009 1782
Jun 2009 1786
Apr 2009 1809
May 2009 1815
Oct 2009 1949
Nov 2009 1979
Mar 2009 2024
Dec 2009 2175

We find that all were recorded back in 2009

how about last 5 years

yrmon amount
Sep 2012 2219
May 2016 2220
Oct 2012 2231
Aug 2012 2251
Apr 2016 2276
Jun 2016 2281
Dec 2012 2287
Jun 2012 2296
Jul 2012 2296
Nov 2012 2351

in the above we see that in the last 5 years, 2nd lowest price was achived in May 2016. There is 2nd lowest price was achived in May 2016. There is two other prices from 2016. All others from 2012.

From the above analysis we see that, in 2016 we saw lowest domestic rice prices in last five years and also saw highest prices in last 5 years or 10 years. This fluctuation seems to be difficult to explain at this moment.

Yearly price trend

plot of chunk ypt

plot of chunk ypt

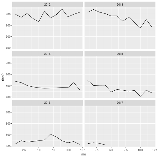
International price

Bangladesh Bank Source (Thai price)

Last five years

plot of chunk bbt3

plot of chunk bbt3

last two years

plot of chunk bbt2

plot of chunk bbt2

yearly trend

plot of chunk ypt7

plot of chunk ypt7

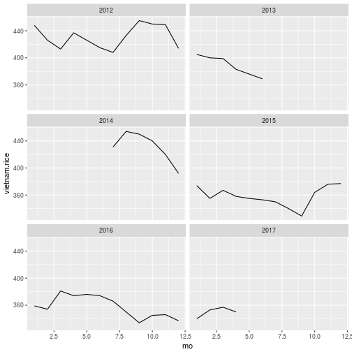
Vietnam price

Last five years

plot of chunk bbt5

plot of chunk bbt5

last two years

plot of chunk bbt6

plot of chunk bbt6

Top 10 prices

In the below we see top 10 prices since 2009 in vietnam price. We find that out of this top 10 prices, almost all of those were recorded in 2011.

time vietnam.rice
Oct 2011 573
Sep 2011 568
Aug 2011 555
Nov 2011 554
Jul 2011 506
Dec 2011 498
Dec 2010 496
Nov 2010 493
Jan 2010 482
Jan 2011 480

In the same manner we look into to 10 lowest prices since 2009

time vietnam.rice
Sep 2015 329
Sep 2016 334
Dec 2016 337
Aug 2015 340
Jan 2017 340
Oct 2016 345
Nov 2016 346
Jul 2015 350
Aug 2016 350
Apr 2017 350

What we see is quite interesting. since 2009, the lowest prices were recorded in 2015, 2016 and 2017. As of April 2017, we have the 10-th lowest price since 2009.

Thai price

Top 10 prices

In the below we see top 10 prices since 2009 in vietnam price. We find that out of this top 10 prices, almost all of those were recorded in in the period between 2009 and 2011.

time thai.rice1
Nov 2011 629
Oct 2011 615
Sep 2011 614
May 2012 614
Jun 2012 612
Dec 2011 608
Dec 2009 605
Jul 2009 602
Jan 2010 596
Jul 2012 587

In the same manner we look into to 10 lowest prices since 2009

time thai.rice1
Dec 2015 365
Sep 2015 366
Nov 2016 367
Nov 2015 371
Jan 2016 371
Oct 2015 373
Oct 2016 373
Feb 2017 376
Mar 2017 377
Mar 2016 379

What we see is quite interesting. since 2009, the lowest prices were recorded in 2015, 2016 and 2017. As of March 2017, we have the 9-th lowest price since 2009.

yearly trend

plot of chunk ypt2

plot of chunk ypt2

Public stock of rice

Last five years

plot of chunk ps50

plot of chunk ps50

Last two years

plot of chunk ps3

plot of chunk ps3

Top 10 stock values

In the below we 10 highest public stock value of rice since 1990. We find that the latest highest was achieved in August 2015.

yrmon amount
Sep 2012 1253
Sep 2015 1252
Aug 2015 1251
Oct 2008 1247
Oct 2011 1244
Oct 2015 1235
Oct 2012 1232
Sep 2009 1205
Sep 2011 1205
Jan 2012 1203

In the same manner we look into to 10 lowest stock values since 1990

yrmon amount
Jul 2004 61.1
May 2005 68.7
Aug 2004 69
Mar 1995 71
Dec 2004 79
Jan 2005 87.6
Feb 1995 98
Apr 1998 100
Sep 2004 100.4
Apr 2005 110.3

In the above we find that in the last 27 years, we did not experience any low stock values that could feature into to 10 lowest. Now let's look into last 10 years

yrmon amount
Jun 2017 122.9
May 2017 187
Apr 2007 195.3
Jul 2017 215.4
Apr 2008 232.7
May 2007 252.8
Apr 2017 264.9
Apr 2011 284
Apr 2010 285
Aug 2017 313

what we see that we have the lowest public stock in 2017, particularly in June in last 10 years.

Yearly trend

plot of chunk ypt3

plot of chunk ypt3

Import data

Total national import

Last five years

plot of chunk ps62

plot of chunk ps62

Last two years

plot of chunk ps4

plot of chunk ps4

Total rice import

Last five years

plot of chunk ps7

plot of chunk ps7

Last two years

plot of chunk ps53

plot of chunk ps53

Private rice import

All the years

plot of chunk ps8

plot of chunk ps8

Last five years

plot of chunk ps59

plot of chunk ps59

Public rice import

All the years

plot of chunk ps1

plot of chunk ps1

Last five years

plot of chunk ps61

plot of chunk ps61

Government procurement of rice

Last five years

plot of chunk ps51

plot of chunk ps51

Last two years

plot of chunk p77

plot of chunk p77

Yearly trend

plot of chunk ypt4

plot of chunk ypt4

Year-wise procurement upto August

plot of chunk ypty

plot of chunk ypty